Cálculos de Torsión
Al efecto de sostener de una punta y girar el otro extremo en su propio eje a un grupo de fibras, filamentos o hilados, se lo denomina TORSIÓN.
La finalidad de la torsión consiste en reunir varias de estas unidades y formar un conjunto de características muy particulares, semejante a las espiras de un tornillo. El principal efecto que provoca la torsión es dar una mayor resistencia al hilado. Las diversas torsiones también producen diferencias al tacto en los tejidos.
La finalidad de la torsión consiste en reunir varias de estas unidades y formar un conjunto de características muy particulares, semejante a las espiras de un tornillo. El principal efecto que provoca la torsión es dar una mayor resistencia al hilado. Las diversas torsiones también producen diferencias al tacto en los tejidos.
La torsión según el sentido adoptado recibe el nombre Z o S. La definición del sentido está dada por la forma que adopta la diagonal, similar al de las letras antes mencionadas, generalmente a un hilado retorcido a más de un cabo se le aplica la torsión inversa al aplicado al hilado simple.
Las torsiones se expresan en cantidad de vueltas por metro o por pulgadas y están en función de la aplicación final del hilado y del título. Para mantener constante el ángulo de la diagonal en títulos diferentes, la cantidad de torsiones son variables. Generalmente para títulos más finos la cantidad de vueltas por metro es mayor.
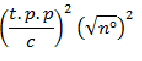
Formula:
Dónde:
T.p.p.= Torsiones por pulgada.
C= coeficiente de torsión.
N°= número de hilo.
Coeficientes de torsión:
C. pie o urdimbre= 4.2
C. trama= 3.4
C. bonetería= 2.4
C. crepe= 5
Ejemplo:
Calcular la torsión por pulgada de un hilo 3/90 que va para trama.
Datos:
t.p.p=?
c= 3.4
n°= 30
En primera instancia sacaremos el número dividiendo 90/3 esto es igual a 30. El siguiente paso es usar nuestra formula de torsiones por pulgada:
Calcular el número de hilo de pie por 20 t.p.p
Datos:
N°=?
t.p.p= 20
c= 4.2
Tenemos que nuestra formula es:
Para sacar n° despejamos n° nuestro despeje queda de la siguiente forma:
Se elimina nuestra raíz y cuadrado quedando de la sig. Manera:
Se sustituyen los datos en la formula ya despejada:
N°= 22.67
Ejercicios resueltos:
1.-Calcular las t.p.p de un hilo 40/2 (bonetería)
(40)(2)=80
Datos:
t.p.p=?
n°= 80
c= 2.4
T.p.p= 21.47
2.-Calcular el coeficiente con un hilo 3/90 y t.p.p de 30.
90/3=30
Datos:
t.p.p= 30
n°= 30
c=?
Nuestra formula nos dice que












